鉅大鋰電 | 點擊量:0次 | 2018年06月15日
探討合肥研究院在薄膜太陽能電池材料理論研究中取得進展
近期,中國科學院合肥物質科學研究院固體物理研究所物質計算科學研究室研究員曾雉課題組在薄膜太陽能電池材料的研究方面取得新進展。通過模擬計算,從理論上篩選出了Cu2ZnSnS4(CZTS)中阻礙電池效率的本征缺陷類型并提出了調控方法。相關結果在線發表在SolarEnergyMaterialsandSolarCells180,118-122(2018)雜志上。
組成CZTS的所有元素在地球中儲量豐富且無毒,是公認的環境友好的低成本高效率電池候選材料。然而,目前基于CZTS的太陽能電池的最高效率約為12.7%,遠低于它的同類化合物Cu(In,Ga)Se2的最高效率(20.3%),其中一個重要原因就是CZTS中存在許多阻礙載流子自由輸運的電荷局域型缺陷。目前的實驗技術還不能從原子尺度判斷缺陷的類型,而理論上可以通過研究缺陷的形成能和電荷轉移能級精確判斷主要的電荷局域型缺陷的類型。
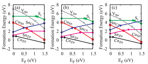
曾雉課題組基于雜化泛函理論的研究發現CuSn和CuZn是CZTS中主要的電荷局域型缺陷,且它們對載流子的影響不盡相同。CuSn在帶隙中形成一個深雜質能級,電子空穴對通過該深能級復合,因此CuSn是一個深能級復合中心。CuZn雜質能級位置相對低,容易電離、貢獻載流子,但是電離后的CuZn-傾向于與ZnCu+形成電荷互相補償的受主-施主缺陷對,其中電性相反的CuZn-與ZnCu+互相吸引在材料中引入大的勢波動,該波動能夠捕獲載流子,因此降低了材料中載流子濃度。而且課題組通過進一步研究,提出了抑制這兩種電荷局域型缺陷的辦法:(1)富Sn生長環境抑制CuSn,因為CZTS中Sn的化學式變化范圍非常大,通過營造富Sn的生長環境,可抑制CuSn;(2)Cd摻雜抑制CuZn,因為摻雜的Cd會占據Zn的位置,降低CuZn形成的可能。兩種方案都已獲得實驗支持。
上述工作得到國家“973”項目以及國家自然科學基金的支持,計算工作在中科院超算中心合肥分中心完成。
圖1.六種電荷局域型缺陷在化學勢穩定區間的不同點的形成能隨費米能級的變化關系。形成能小于1.5eV的主要是CuZn和CuSn。

圖2.CZTS化學勢穩定區間,即多邊形圍起來的區域。

圖3.Cd摻雜引入的雜質的形成能隨(a)費米能級(b)化學勢的變化關系。CdZn形成能最低,說明Cd雜質傾向于占據Zn的位置,抑制CuZn形成。











