鉅大鋰電 | 點擊量:0次 | 2019年01月20日
固態電解質鋰枝晶生長機理全新解讀
隨著鋰離子電池能量密度的持續提升,傳統的石墨負極材料已經顯得力不從心,雖然硅碳材料在容量上遠高于石墨材料,但是在嵌滿Li的情況下Si的體積膨脹可達300%以上,巨大的體積膨脹不僅會造成Si顆粒自身的粉化和破碎,還會破壞電極中的導電網絡,從而造成可逆容量的快速衰降。金屬Li負極的理論容量達到3866mAh/g,并具有優良的導電性,是一種完美的負極材料的選擇,然而在液態電解液中金屬Li在反復充放電的過程中產生Li枝晶,持續生長的Li枝晶會穿透隔膜導致正負極之間發生短路,引起嚴重的安全問題。全固態電解質具有一定的強度,能夠抑制Li枝晶的生長,從而為金屬Li負極的應用提供了可能。
一般我們認為采用全固態電解質后能夠完美的克服金屬Li枝晶的問題,但是實際上即便是采用全固態電解質我們仍然要面對鋰枝晶的挑戰,特別是對于LLZO這類石榴石結構的全固態電解質而言,Li枝晶非常容易沿著固態電解質中晶粒之間的晶界生長,往往循環幾十次電池就會發生短路。近日,美國馬里蘭大學的FudongHan(第一作者)和ChunshengWang(通訊作者)等人對Li7La3Zr2O12(LLZO)和Li2S–P2S5固態電解質中金屬Li枝晶的產生和生長機理進行了深入研究,結果表明LLZO和Li3PS4兩種固態電解質高的電子導電率是導致金屬Li枝晶產生和生長的重要原因。

我們對比兩種常見的全固態電解質LLZO和LiPON,兩種電解質的密度是相近的,LLZO的剪切模量要比LiPON高兩倍,LLZO的材料與金屬Li之間的界面阻抗要小于LiPON電解質,更為重要的是LLZO電解質的離子電導率(10-4)要遠高于LiPON電解質(10-6),這一切都表明LLZO能夠更好的抑制Li枝晶的生長,但是實際中LLZO電解質中非常容易生長Li枝晶,而LiPON電解質卻能夠很好的抑制Li枝晶,這表明還有其他因素導致Li枝晶更容易在LLZO電解質中生長。對比兩種電解質的電子電導率我們發現,LLZO的電子電導率為10-8到10-7S/cm,要遠大于LiPON電解質(10-15到10-12),高的電子電導率可能會使得Li+在電解質中直接與電子結合形成金屬Li,導致Li枝晶的產生和生長,因此高的電子電導率可能是引起LLZO等固態電解質中容量生長Li枝晶的原因。
中子衍射技術是研究H、Li等輕元素的有效方法,我們之前曾經報道過利用中子衍射技術分析電解液浸潤過程和壽命衰降導致的Li分布不均的現象的研究,在這里FudongHan也利用中子衍射技術對充電過程中Li元素在固態電解質中的分布進行研究(如上圖所示)。上圖c、d和e為固態電解質厚度方向上Li的濃度,其中0位置表示Li的沉積面,深度方向為向電解質內部的深度。從圖中能夠看到在LiPON電解質中中子衍射技術能夠看到的厚度為3.4um,LLZO能夠看到的厚度為16um,Li3PS4能夠看到的厚度為20um。
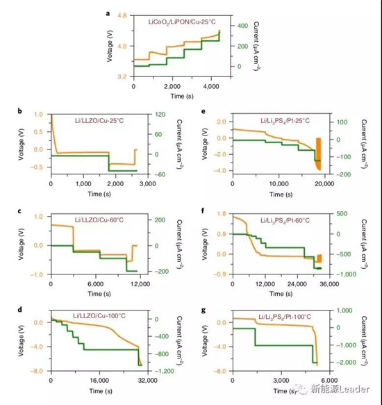
下圖為幾種不同結構的固態電解質電池的首次充放電曲線,從下圖a能夠看到隨著充電電流的逐漸提高,LiCoO2/LiPON/Cu電池并沒有發生短路的現象。而Li/LLZO/Cu和Li/Li3PS4/Pt電池在沉積Li的過程中Li沉積電極的電勢很快就掉到了0V一下,隨后恢復到0V,表明電池在充放電過程中發生了短路。

下圖為Li沉積電極上沉積的Li與外電路通過的電荷之間的關系,從下圖a中能夠看到對于LiCoO2/LiPON/Cu電池在整個充電過程中沉積的金屬Li與通過的電荷完全一致,但是對于LLZO和Li3PS4兩種電解質的電池,在60℃下充電時開始的時候Li的沉積數量與通過的電荷數量完全一致,但是在經過一段時間后,沉積的Li的數量開始少于通過的電荷數量,在100℃下兩者之間的差距變的更加明顯,這表明有部分Li沉積在固態電解質的內部。

為了驗證上述猜想,FudongHan分析了在不同溫度下充電過程中幾種固態電解質體相中Li的濃度的變化(如下圖所示),從下圖中可以看到LiPON電解質在經過充放電后體相中的Li的濃度沒有發生顯著的變化,表明所有的Li都最終在Cu電極一側發生了沉積,沒有金屬Li在LiPON電解質內部發生沉積。在25℃下LLZO和Li3PS4兩種電解質體相中的Li的濃度也沒有發生顯著的變化,表明此時的短路可能是因為電解質中形成了非常細小的Li枝晶,雖然導致了短路,但是Li的數量非常少,因此中子衍射無法分辨。但是如果溫度升高到60℃后,LLZO和Li3PS4兩種電解質體相中的Li的濃度出現了顯著的增加,表明此時已經有大量的金屬Li枝晶開始在兩種電解質內部發生沉積。如果將溫度進一步提高到100℃,那么體相中沉積的金屬Li將變得更多。

下圖為幾種電解質在不同的溫度下經過不同時間的充電后體相中的Li濃度分布,從圖中能夠看到LiPON電解質在充放電過程中電解質內部的Li濃度分布一致非常均勻,沒有出現明顯的變化。在25℃下,LLZO和Li3PS4兩種電解質中的Li濃度分布也比較均勻,沒有出現顯著的變化,這主要是因為此時形成的Li枝晶數量比較少,中子衍射技術無法探測到。當將溫度提高到60℃后兩種電解質內部的Li的濃度出現了一定的升高的現象,當將溫度進一步提高到100℃后隨著充電時間的增加,固態電解質中的Li濃度出現了顯著的增加,表明大量的金屬Li在兩種固態電解質內部發生了沉積。

下圖為經過不同時間充電的LLZO電解質的聚焦離子束掃描電子顯微鏡圖片,從圖中能夠看到在LLZO電解質中的Li枝晶(下圖中的黑色部分)之間都沒有相連,而是相互獨立的,這也進一步表明由于較高的電子導電性,使得Li能夠直接在LLZO電解質內部發生沉積,生成金屬鋰。
長久以來LLZO等高離子電導率的固態電解質的Li枝晶生長的問題一直是困擾著其在全固態電池中應用的關鍵因素,人們嘗試了多種方法效果都不理想,FudongHan的研究表明電解質的電子電導率與Li枝晶的生長存在密切的關系,LLZO和Li3PS4電解質由于電子電導率較高,因此在充電過程中Li能夠直接在電解質內部得電子,沉積為金屬Li,引起電池短路,因此后續對于LLZO等高電導率電解質應該更加關注如何降低電子電導率。










