鉅大鋰電 | 點擊量:0次 | 2019年05月31日
有關電池研究中的電化學技術
研究背景
隨著電動汽車和電子產品的普及,電池產品得到快速發展。巨大的市場潛力和尚存的發展局限激發研究人員對電池的熱情,然而目前研究電池的科研人員大部分都并不是電化學科班出身,而是來自材料和物理化學等領域,因此不一定具備系統的電化學知識。對于電池研究而言,理解電化學數據、標準電化學測試和專業電化學分析都是必備的電化學知識技能,為此有必要對電化學測試和電化學分析知識加以概括,為廣大電池研究人員提供理論支持。
成果簡介
近日,香港城市大學XumingYang博士研究生和AndreyL.Rogach教授(共同通訊)在Adv.EnergyMater.上發表了“ElectrochemicalTechniquesinBatteryResearch:ATutorialforNonelectrochemists”的最新研究工作。該工作介紹了基本的電化學概念,針對電壓、電流和阻抗等測試技術進行了詳細的討論分析,為電池研究工作者提供學習大綱和指導教程。
研究亮點
(1)介紹了基本的電化學概念:電壓、電流、容量和測試時間;
(2)介紹了常見的電極材料評判指標:能量/功率密度、庫倫效率和循環壽命;
(3)針對上述概念和指標,介紹了常見的電化學測試手段:循環伏安測試、恒電流充放電測試、交流阻抗測試、恒電壓間歇滴定法和恒電流間歇滴定法,將上述方法歸類為電位技術、電流技術和阻抗技術,并針對目前研究工作和文獻報道中存在的不妥對其進行討論。
圖文導讀
1.基本電化學概念介紹
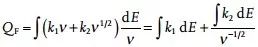
電壓和法拉第容量是電極材料的本質屬性,電壓由反應物和生成物之間的吉布斯自由能變決定,而法拉第容量由可轉移電子數決定,具體數值可由方程(1)和(2)得出,其中E是電壓,ΔrG是反應的吉布斯自由能變,QF是法拉第容量,M是電極的相對分子質量,F是法拉第常數。能量容量(QE)則是電壓和法拉第容量的結果,可由方程(3)得出。然而,上述三個方程只是指出理論參數的計算方法,實際實驗結果通常偏離理論計算結果,因為實際情況通常受極化、副反應和不完全的反應等影響,副反應會消耗部分電荷,而電阻會導致能量以熱量形式發生損耗。除此以外,庫倫效率和能量效率也是電池研究中的重要概念。

2.電位技術
循環伏安測試(CV)是電化學測試中最重要的電位技術,在電池研究中使用循環伏安測試通常會涉及固液界面、離子擴散和多重反應等等。循環伏安測試所得到的典型曲線如圖1(b)所示,一對高斯峰對應一個電極反應,峰電流(ip)之比及其對應的電壓差(ΔEp)可用于判斷電化學反應的可逆性。當CV曲線轉換成電壓vs容量曲線(如圖1c),充放電平臺對應于CV曲線中峰電流對應的電壓。當電流采用電流密度(Ag-1)而不是電流(A)作度量時,所得到的絕對值就是比容量(mAhg-1)。特別需要注意的是,只有當電池性能與活性物質負載量無關時才能采用比容量作度量。另外,循環伏安測試需要指定合適的電壓窗口和掃描速率,為此有兩個判斷標準用于指定電壓窗口和掃描速率:(1)在指定的電壓窗口范圍內,應該出現電極反應,并且在結束時電流應該降為零;(2)在指定掃速下,積分容量應該接近于電極材料的理論容量(基于這一點,電池掃描速率一般在0.1-10mVs-1范圍之內)。

圖1(a)循環伏安測試的電壓曲線(b)電流響應與電壓曲線(c)電壓與積分電流曲線
電流響應一共有雙電層響應(idl)、表面響應(is)和體積響應(iB)三種(如圖2)。雙電層響應類似于物理電容器,大小只取決于容量和掃速,由于不存在化學反應,因而不屬于法拉第過程。在電池體系中,雙電層電流通常很小,而表面響應(is)和體積響應(iB)共同組成法拉第電流,它們對掃速具有不同的響應,具體可參考以下公式:

表面響應和體積響應的區別在于固體電極體相中的電荷傳輸遠遠慢于液體電解液中的傳輸。表面的法拉第過程帶有電容屬性,通常被稱為贗電容或電化學電容。電化學電容與物理電容最大的區別就是:(1)贗電容電流響應與電壓有關,該電壓由表面氧化還原反應的吉布斯自由能變決定;(2)化學反應過程并不是瞬間完成的,也就是說贗電容電流響應并不是完美地與掃速成比例。活性物質體相中氧化還原過程貢獻的電流由電荷傳輸產生,并近似地與掃速的平方根成比例。對于完全是擴散控制的電極反應,峰電流和掃速平方根的線性關系通常被用于計算擴散系數。
反應動力學是電極材料的重要特征,為此大部分的電池都被設計為贗電容特性,并且依然能夠保持大容量特性。在這種理念下,納米材料通常被用作電極材料以提高倍率性能,原因在于納米材料本身就具有大比表面積的特點,導致很高的贗電容貢獻和快速擴散控制電流響應。對于單純的擴散控制電化學體系(主要是正極材料),不同掃速下的CV測試通常能夠得到擴散系數。然而,當贗電容貢獻不能被忽略的時候,其貢獻值就可以通過以下方程得出:

在上述方程中,a和b不是常數,而是可以根據掃速變化的參數。在細小的掃速變化下,a和b可以被視為常數,b值可以從ipvsv1/2的曲線得出,b值得范圍在0.5-1之間,分別對應于擴散控制和贗電容反應。因此,不難理解,b值可以反映電池體系是贗電容反應占主導還是擴散控制占主導,但是當b值位于中間值時(如b=0.8),則不能明確判斷贗電容和擴展控制的占比。為此可以通過以下方程定量計算贗電容貢獻和擴散控制的具體占比:

然而這種方法的缺點就是需要進行繁瑣復雜的運算,但是可以通過矩陣運算進行簡化,如利用MATLAB或者其他計算程序自動運行。該方法另一個致命缺陷就是,該方程只有在增加的掃速導致極化,從而引起的峰偏移可以忽略不記的情況下使用。為此提出了以下方程用于定量區分兩部分容量貢獻,該方程即使在極化不能忽略的情況下依然可以工作。

如圖2f,可以擬合掃速的平方根的倒數(v-1/2)與積分容量之間的線性曲線,得出的截距代表贗電容貢獻容量,該部分與掃速無關;斜率代表擴散控制貢獻的容量,與掃速的平方根成比例。

圖2(a)三種電流響應模式(b)、(c)不同掃速下的循環伏安測試曲線(d)log2(ip)vslog2(v)曲線(e)贗電容貢獻(f)積分容量的線性擬合vs掃速的平方根的倒數
3.電流技術
恒流充放電測試是常用于評價電池容量、可逆性、循環性能和倍率性能的測試方法,其在恒定電流下測試(圖3a),并且需要指定一個與CV測試一樣的電化學窗口,最終得到有明顯平臺的傾斜曲線(圖3b)。為了更方便地看出電位平臺,可以做出積分容量曲線(dQ/dVvsV),其產生的峰對應GCD曲線的平臺,并且與CV曲線的峰一致。值得一提的是,dQ/dV曲線在積分過程中難免產生很多毛刺,為了避免這一問題,可以提前圓滑GCD曲線(去除白噪聲),并增加取值點的間隔(通過得到k>1的(Qn+k-Qn)/(Vn+k-Vn)降低誤差)
恒流充放電通常需要對活性物質質量或電極面積進行歸一化,以得到重量比容量或面積比容量。在電池測試中,常見的容量度量單位是重量比容量(mAhg-1),并且通常采用重量比電流密度(A/g)或C(1C指的是1小時內使電池充滿電的電流值)做電流度量。需要指出的是,制作全電池匹配正負極容量時,出于電荷守恒,應該匹配面積比容量(mAhcm-2)而不是重量比容量(mAhg-1)。同樣的,在進行對比實驗時,應該控制的是面積比容量(mAhcm-2)而不是負載量(mgcm-2),也就是C作為電流度量更合適,重量比電流密度只有在質量對容量影響可以忽略不計的情況下才使用。然而在目前大量的研究工作中,為了方便通常采用重量比容量,這就意味著目前大量的優秀研究結果只有在負載量極少的情況下才能得出。

圖3(a)實際測試的電流曲線(b)實際記錄的電壓響應與容量的關系曲線(c)恒流充放電測試充放電過程中的容量電壓積分曲線(d)循環性能(e)倍率性能(f)功率密度與對應能量密度的關系圖
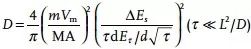
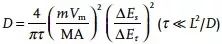
恒電流間歇滴定法(GITT)可以測量充放電過程中各個平衡狀態下的擴散系數,需要特別說明的是:放電時間應該足夠短,以至于Eτ和τ1/2之間可以建立線性關系(圖4c),只有這樣放電過程的擴散系數才可以通過以下方程計算:

而充電過程的擴散系數也可以通過下列方程計算:

但是Vm指的是中間產物的摩爾體積,其隨著離子嵌入電極材料的濃度而變化;A是電化學面積,而不是極片的幾何面積,也不是活性物質的表面積,因為上述兩種面積均與粘結劑和導電添加劑相連,而電極材料中電荷的攝取通常具有各向異性,也就是并不是所有的面積均對電荷具有電化學活性。

圖4(a)恒電流間歇滴定曲線(b)在特定靜止-放電-靜止階段的電壓vs時間關系圖(c)電壓vsτ1/2關系圖,τ為放電時間(d)在特定靜止-充電-靜止階段的電壓vs時間關系圖
4.阻抗技術
如圖5a給出Nyquist圖和對應的等價電路(Randles電路),其中Rint是電池體系固有電阻,Cdl是雙電層電容,Rct是電荷傳輸電阻,ZW是韋伯阻抗,它與半無限的線性擴散有關,并與頻率的平方根成反比。圖5a中高頻區的半圓部分從Rint開始,其半徑即為Rct的一半,當多一個半圓出現時,就應該考慮到在等效電路中多一個電容器存在。當頻率足夠低時,雙電層電容可以視為處于關閉狀態,并可以將它移出等效電路,此時的阻抗方程可以簡化為:

這就是為什么理想的Nyquist圖中低頻部分會出現45°的曲線。通過擬合Zre(實部)或Zim(虛部)與ω-1/2(ω為角頻率)之間的線性關系,可以得到σ并根據以下方程計算出擴散系數。

可以通過在不同濃度(x)下的Li+/Na+對開路電壓求積分得到,而此處的A同樣為電化學面積,而不是電極材料的幾何面積或活性物質的比表面積。
實際的電池體系中,電極表面粗糙,贗電容存在,離子的實際擴散并不能以一維形式線性擴散,使得高頻區出現圓弧而不是半圓,低頻區的直線并不是45°(圖5c)。在這種情況下,雙電層電容用恒相位元件替代。

圖5(a)Randles電路模型(藍色)及其對應的電化學阻抗圖譜(紅色)(b)Zre(實部)或Zim(虛部)與ω-1/2(ω為角頻率)之間的線性關系(c)偏離的Randles電路模型(藍色)及其對應的電化學阻抗圖譜(紅色)
小結
本工作介紹了與電池研究有關的基礎電化學概念,包括電位、電流和阻抗的測試技術。出于實用性的考慮,文章中引用了大量電化學方程,這些方程對于理解數據、分析數據十分有意義。更重要的是,作者針對電池研究中常見的測試技術和分析方法展開討論,強調對應電化學方程的使用條件,并指出了目前電池研究中電化學分析存在的不妥之處。這一研究成果不僅為非電化學背景的研究工作者提供了系統掌握電化學理論的入門學習機會,更加為已經擁有電化學背景知識的研究工作者指明目前潛在的錯誤,提高大家對電化學知識的理解和認識,為電池的設計、研究和優化提供理論指導。










