鉅大鋰電 | 點擊量:0次 | 2018年05月14日
鋰電池的開發史——過充電的簡述
鋰電池(LIB)因自身缺陷發生事故的概率極低。在2009年3月于美國佛羅里達州舉辦的電池國際學會“26thInternationalBatterySeminar&Exhibit”上,美國桑迪亞國家實驗室(SandiaNationalLaboratory,SNL)宣布電池自身引發事故的概率在1ppm以下。而從事電池安全對策的美國TIAXLLC則表示事故概率在0.2~0.5ppm之間,超過了品質管理方法“六西格瑪(6σ)”的管理極限。
1ppm的概率極低,可以稱之為稀有現象。在美國1年內死于雷擊的概率約為1ppm。在日本買***中頭獎的概率為0.1ppm。也就是說,LIB因自身缺陷發生事故的概率略高于中頭獎,與雷擊死亡基本相同。這是因為LIB采取了多重的安全對策。
然而,LIB實際發生事故的概率卻遠遠高于ppm的數量級。這是因為大多數事故并不是電池自身缺陷引起的,而是外在因素導致。在前面提到的學會上,SNL表示絕大多數的事故原因都是擠壓、加熱、過充電等外在因素。
這些情況其實很少有人知曉。直到現在,不少觀點還把事故的主要原因認為是電池自身存在缺陷。日本電池工業會最近提出了測試金屬片進入電池是否會威脅安全性的測試方法。具體方法是在卷繞后的電池元件中插入金屬片,通過加載壓力,強制使金屬片引發內部短路。調查在這一過程中,電池是否出現發熱、冒煙、起火等現象。這是因為有指責認為“制造工序中混入LIB的金屬片會成為內部短路的導火索,最終引發事故”。
電池事故多數源于使用不當
大多數制造商已經實施了基本相同的測試。其代表是在充電后,用釘子穿透電池的“穿釘測試”。在此基礎上,如果電池中混入金屬片等雜質,引發了微弱的內部短路,通過老化測試應該可以予以篩除。這意味著存在缺陷的電池作為商品流入市場的可能性極低。電池工業會提出的測試實際上是在重復實施相同的測試,其必要性令人生疑。
當然,即使制造完成時不存在內部短路,在使用過程中,電池也完全有可能發生內部短路。假設在充電時,電極內生成枝晶狀金屬,引發了內部短路。造成這種故障的原因主要有兩個。一個是充放電時,電極中摻雜的金屬片溶出到電解液中,在對極析出。
另一個是電池內部含有數百ppm等級(相對于電解液總量的比例)的大量水分。水分進入電池后,會與支持電解質LiPF6發生反應,生成氫氟酸(HF)。HF為強酸,會溶解正極活性物質和集電體,在充放電時,使這些物質在對極以金屬枝晶的形態析出。LIB剛剛出現的時候,同樣在干燥室中制造,干燥的冬季與高濕的夏季的產品相比,冬季的產品在各方面的性能更好,由此可見,LIB對于生產環境的濕度非常敏感。
現在,電池的制造工序采取了徹底去除水分的對策。比方說對各種材料進行干燥。最重要的步驟,是對容易吸附水分的負極使用的碳進行干燥,使電解液經過脫水塔,去除微量水分。而且制造要在露點設定于-60~-40℃之間的干燥室中進行。為保險起見,卷繞電池元件后,還要使用真空干燥機再次對元件進行干燥。
采取周全對策意味著在制造工序之中,哪怕是一丁點的差錯,都可能導致電池出現以自身為原因的重大事故。因此,LIB制造商必須銘記,在電池的制造工序中容不得一絲懈怠。
但是,無論電池制造商怎樣在制造工序中百般小心,提高安全性,用戶不正確使用的話,也無法杜絕事故的發生。就像SNL和TIAX指出的那樣,與電池自身缺陷相比,外在因素引發事故的可能性要大得多。
過充電是二次電池的大敵
什么才叫正確使用電池?最重要的是避免過充電。微量的過充電也有可能導致冒煙和著火等事故。比如說,FUJITSUTECHNORESEARCH曾對4.25V和4.30V電壓下充電的LIB分別進行了“擠壓測試”和“穿釘測試”(圖1)。結果,4.25V充電的LIB沒有出現問題,而4.30V充電的LIB出現了冒煙和著火。區區50mV的差別,就有可能釀成重大事故。

圖1:電池燃燒的一大原因在于過充電
充電電壓僅相差50mV左右,電池就會發生燃燒(a,b)。(攝影:FUJITSUTECHNORESEARCH)
過充電導致事故的危險性不僅存在于LIB,還存在于所有二次電池。比如說安全性遠高于LIB的Ni-Cd(鎳鎘)二次電池。電解液使用水溶液,正極和負極分別使用鎳(Ni)和鎘(Cd)的化合物。沒有任何著火要素。盡管如此,這種電池依然會因過充電而處于危險狀態。
Ni-Cd二次電池充滿后,正極將產生氧氣,負極將產生氫氣。一旦混合形成氧氣與氫氣體積比為1:2“爆鳴氣”,在遇到某些誘因的時候,很容易發生爆炸。
為防止這種現象發生,Ni-Cd二次電池通過改良,在負極采用了超過必需量的鎘化合物。如此一來,在充電快要結束的時候,正極將先行充滿并產生氧氣,而負極還存在未充電的部分,將繼續充電。正極產生的氧氣移動到負極,與負極充電完成部分的金屬鎘發生反應。反應后的金屬鎘回到未充電狀態。這使得負極總是存在未充電的部分,能夠不斷消耗正極輸送來的氧氣。
這個方法看似萬無一失,其實也存在弱點。在低溫下,吸氧反應的反應速度慢,鎘負極的吸氧反應將受到抑制。氧氣發生與吸收的平衡一旦打破,負極將達到充滿狀態并產生氫氣,從而形成爆鳴氣。這種情況容易在快速充電等使用大電流充電時發生。
過充電為什么危險?
對于LIB,過充電造成的影響更嚴重。原因在于過充電會造成兩個大問題。一個是超過負極鋰容量(理論容量,石墨為372mAh/g)的鋰將轉化為金屬鋰,以枝晶狀析出。這有可能造成內部短路。
另一個是正極會產生反應性非常強的氧氣。如果氧氣與LIB內的電解液、鋰和碳的化合物結合,也就是發生氧化反應,可能會導致發熱和著火。
下面以正極的代表性物質鈷酸鋰(LiCoO2)為例,來詳細解釋一下其中的原因。LiCoO2的結構是在氧化鈷(CoO2)層之間插入鋰。充電時,鋰將脫離正極,向負極移動。鋰脫離后,“空房子”(空隙)將會增加。鈷(Co)會趁虛而入,鉆進這些“空房子”寄住。隨著充電的進行,“空房子”越多,或是溫度越高,鈷越容易發生移動。鈷移動到鋰曾經的地盤后,之前與鈷組成CoO2的氧將失去伙伴,也從正極脫離。
這些氧是以原子狀態單獨存在的“初生態氧”,反應性非常強,與任何物質都很容易發生反應注1)。LIB中含有容易氧化的電解液、鋰和碳的化合物,這些物質會與氧結合,導致發熱和著火。
注1)空氣中的氧是原子結合形成的氧氣(02)(鍵位占滿),反應性不強。如果反應性強,生物在呼吸時,肺就會與氧氣發生反應并灼傷,無法生存。我們必須感謝氧氣不具備強反應性。
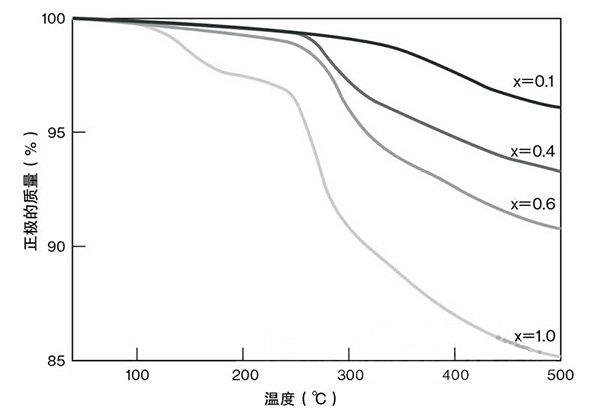
“初生態氧”會在怎樣的條件下產生?我們以Li1-xCoO2的x為參數,通過利用熱質量分析法檢測改變溫度時的質量變化,對相關條件進行了研究(圖2)。結果顯示,x越大,也就是充電進度越大,質量開始減少的溫度越低,減少量越大。質量減少是氧脫附的表現。而且我們還發現,充電進度越大(x越大),脫附的氧越多,氧脫附發生的溫度越低。也就是說,要想抑制“初生態氧”產生,不在超過規定的電壓下充電(避免過充電)、電池不升溫注2)是必需條件。為滿足這些條件,組裝企業等LIB的使用者必須小心謹慎。
注2)在合成LiCoO2時添加鋁(Al)和鎂(Mg)也是抑制初生態氧產生的有效手段。添加這些物質后,氧脫附溫度將升高,在一定程度上可以遏制脫附反應。

圖2:充電進度越大,正極質量越小
通過Li1-xCoO2的x的差異表示正極的質量變化。x越大表示充電進度越大。隨著氧脫附的進行,正極質量變小。
快速充電是造成過充電的原因
容易發生過充電的情況主要有兩種:快速充電時、電池單元失衡時。先來看快速充電。
LIB推薦采用恒定電流/恒定電壓(CC/CV:constantcurrent/constantvoltage)充電。這是先在恒定電流下充電(CC充電),當達到規定電壓后,切換至恒定電壓充電(CV充電)的方法(圖3)。通常的LIB在開始充電時,充電電壓為4.2V,電流為1C注3)。因為電流為1C,所以在理論上,1個小時后,端電壓將達到4.2V。但充電電壓與端電壓之間,存在叫作“過壓”*的偏差。因此,當充電電壓達到4.2V時,實際的端電壓低于4.2V。
注3)以1C充電是指以理論上可1小時充滿的電流充電。電池容量為2000mAh時,1C為2000mA。5C充電則是以1C的5倍,也就是1萬mA的電流充電。
*過壓=電極反應產生電流時,電極電位會偏離平衡電位。這個偏移叫作過壓。比如說,在進行電解時,加載的電壓不高于理論電壓,就不會發生電解。對電池來說,實際的電池電壓低于由正極、電解液、負極的組合決定的理論電壓。

圖3:恒定電流/恒定電壓充電(CC/CV)的情況
LIB推薦采用以恒定電流開始充電,在達到規定電壓后,切換至恒定電壓充電的CC/CV充電。
這就是說,充電電壓達到4.2V時,電池沒有充滿,充電量僅為70~80%左右。要想繼續充滿,需要切換到CV充電,在維持4.2V的充電電壓的同時,慢慢補充剩余的20~30%。不過,在CV充電時,電流會縮小,如果為縮短充電時間,擴大CC充電時的電流值,過壓的偏移將會增大,使充電電壓提前達到4.2V。電池可能會需要更長的時間才能充滿。
如果只需充入70~80%的電量,通過在CC充電時進行大電流快速充電,20~30分鐘即可完成。但是,要想利用CC充入接近100%的電量,則有些不切實際。因為達到這個目的需要的電壓高于4.2V的規定電壓,會形成“快速充電=過充電”的等式。
設置保護電路應對單元失衡
最近有一種思路:即使充電電壓超過規定電壓,只要采用脈沖充電的方式,借助電流的中斷,就不會造成過充電。但脈沖充電的暫停時間意味著脈沖電流要大于連續充電的電流。雖然充電快,但必須加載高于規定值的電壓,依然會造成過充電。大家千萬不要誤會。
造成過充電的另一個因素是電池組電池單元性能的失衡。下面以兩個單元串聯而成的簡單電池組為例進行介紹。
假設兩個單元中的一個劣化嚴重,容量出現失衡。如果在這種狀態下為兩個單元充電,容量劣化的單元將提前達到充滿狀態。假設一方的電壓為4.2V,另一方為3.8V。此時,充電電壓為4.2V的2倍,也就是8.4V,按照簡單推算,充電結束時,一個單元的電壓為4.4V,另一個為4.0V。4.4V的單元明顯處于過充電狀態。
避免失衡導致過充電的方法,是在外部設置保護電路,在單元電壓達到4.2V時停止充電。但是,如果單元數量多,采用這種方法需要設置大量的FET,用來監控電壓,在成本上并不劃算。
對氧化還原對材料寄予期望
不依賴保護電路等裝置,使電池自身能夠防范過充電的材料一直沒有停下開發的腳步。雖然尚未投入實用,但作為此類材料的代表,氧化還原對材料的前景備受看好。材料的作用機制不難解釋,已經得到了Ni-Cd二次電池和鎳氫二次電池的采用。
關于Ni-Cd二次電池的過充電問題,前面已經說過,在充滿電時,正極將產生氧,產生的氧將被負極消耗。換句話來說,就是正極產生(氧化反應)的氧在負極消耗(還原反應),這個過程耗時漫長。在充電時,電池處于下面的循環狀態。

也就是說,只要形成這樣的循環,就能制造出不會出現過充電的電池。這叫作氧化還原對反應。氧化還原(Redox)包括還原(Reduction)與氧化(Oxidation)兩個步驟。
LIB不能像Ni-Cd二次電池那樣,直接賦予其氧化還原對功能。這是因為在充電時如果不控制電壓,正極的Li+(鋰離子)將源源不斷地被運往負極。LIB發生氧化還原對反應必須另行采用具備該功能的材料。這已經成為了電池開發人員長年面對的課題。
采用由具備氧化還原對功能的單元組成的電池組可以解決電池單元失衡的問題(圖4)。當某個特定單元提前充滿后,該單元的氧化還原對功能將啟動,停止為電極充電。而未充滿的其他單元的氧化還原對功能不啟動,繼續進行充電。

圖4:使用氧化還原對材料可以解決電壓的不均
過去的電池組在單元失衡的狀態下停止充電的情況(a),使用氧化還原對材料的電池組可以使所有單元達到相同電壓(b)。圖片根據3M公司的論文制作。
筆者的研究室曾在大約25年前嘗試開發過氧化還原對材料。我們當時嘗試的材料只能在非常小的電流下產生氧化還原對反應,應付不了通常的充電電流。
近年來,隨著仿真技術的進步,人們對于什么結構的化合物會發生氧化還原對反應已經有了一定的了解。2008年,美國3M公司開發出在3.9V的電壓下工作的氧化還原對材料,使實用化帶上了一絲現實色彩(圖5)。現在,在4.2V下工作的材料也在研究之中,如果有效,應該可以應用于占據LIB主流的LiCoO2系電池。

圖5:在3.9V下工作的3M公司的氧化還原對材料
通過反復進行氧化還原反應防止過充電的氧化還原對材料的研究是新一代電池開發的一大焦點。3M公司開發出了在3.9V下工作的材料。圖片根據3M公司的論文制作。
除此之外,阻燃電解液的開發也在進行。添加阻燃劑會嚴重影響電池性能,因此,很多觀點都認為阻燃性電解液難以投入實用。最近,常溫下的熔融鹽電解液(離子液體)開發成功。這種電解液具備蒸氣壓低、不易燃的特點。雖然有看法認為其離子導電率等性質不完善、離子液體無法避免燃燒,目前尚未達到實用水平,但對于今后的發展,筆者充滿了期待。
除了利用氧化還原對材料和離子液體等提高安全性的嘗試之外,高安全性的正極活性物質和負極活性物質的開發當然也在持續進行。
下一篇:三元材料電池或擔綱未來










